Conversion des proprietés optiques du vitrage

Sommaire  Précédent  Suivant

Conversion from Glass Optical Properties Specified as Index of Refraction and Transmittance at Normal Incidence

 

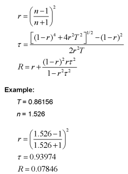
The optical properties of uncoated glass are sometimes specified by index of refraction, n, and transmittance at normal incidence, T. The following equations show how to convert from this set of values to the transmittance and reflectance values required by DesignBuilder and EnergyPlus. These equations apply only to uncoated glass, and can be used to convert either spectral-average solar properties or spectral-average visible properties (in general, n and T are different for the solar and visible). Note that since the glass is uncoated, the front and back reflectances are the same and equal to the R that is solved for in the following equations.

 

Given n and T, find R:

 

glazing conversion_263x358