Distribution des rayonnements solaires

Sommaire  Précédent  Suivant

Cette section est tirée de la documentation EnergyPlus. Pour plus d'information, veuillez-vous référer au document EngineeringReference.pdf de la documentation EnergyPlus.

 

This topic summarises the methods used in calculation of solar radiation in EnergyPlus.

Sky Radiance Model

In EnergyPlus the calculation of diffuse solar radiation from the sky incident on an exterior surface takes into account the anisotropic (non-uniform) radiance distribution of the sky. For this distribution, the diffuse sky irradiance on a surface is given by:

 

AnisoSkyMult * DifSolarRad

 

where:

DifSolarRad is the diffuse solar irradiance from the sky on the ground and

AnisoSkyMult is determined by surface orientation and sky radiance distribution, and accounts for the effects of shading of sky diffuse radiation by shadowing surfaces such as overhangs. It does not account for reflection of sky diffuse radiation from shadowing surfaces.

 

The sky radiance distribution is based on an empirical model based on radiance measurements of real skies, as described in Perez et al., 1990. In this model the radiance of the sky is determined by three distributions that are superimposed (see Figure 33)

 

1.An isotropic distribution that covers the entire sky dome;
2.A circumsolar brightening centered at the position of the sun;
3.A horizon brightening.

 

image201

 

Schematic view of sky showing solar radiance distribution as a superposition of three components: dome with isotropic radiance, circumsolar brightening represented as a point source at the sun, and horizon brightening represented as a line source at the horizon.

 

The proportions of these distributions depend on the sky condition, which is characterized by two quantities, clearness factor and brightness factor, defined below, which are determined from sun position and solar quantities from the weather file.

The circumsolar brightening is assumed to be concentrated at a point source at the center of the sun although this region actually begins at the periphery of the solar disk and falls off in intensity with increasing angular distance from the periphery.

The horizon brightening is assumed to be a linear source at the horizon and to be independent of azimuth. In reality, for clear skies, the horizon brightening is highest at the horizon and decreases in intensity away from the horizon. For overcast skies the horizon brightening has a negative value since for such skies the sky radiance increases rather than decreases away from the horizon.

Shadowing of Sky Long-Wave Radiation

EnergyPlus calculates the sky long-wave radiation incident on exterior surfaces assuming that the sky long-wave radiance distribution is isotropic. If obstructions such as overhangs are present the sky long-wave incident on a surface is multiplied by an isotropic shading factor. The long-wave radiation from these obstructions is added to the long-wave radiation from the ground; in this calculation both obstructions and ground are assumed to be at the outside air temperature and to have an emissivity of 0.9.

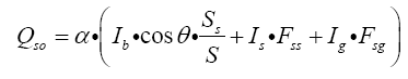
Solar Gains

The total solar gain on any exterior surface is a combination of the absorption of direct and diffuse solar radiation given by

 

image202

where:

a =solar absorptance of the surface

A =angle of incidence of the sun's rays

S =area of the surface

Ss = sunlit area

Ib =intensity of beam (direct) radiation

Is =intensity of sky diffuse radiation

Ig =intensity of ground reflected diffuse radiation

Fss = angle factor between the surface and the sky

Fsg = angle factor between the surface and the ground

 

If the surface is shaded the program modifies Fss by a correction factor that takes into account the radiance distribution of the sky (see “Shadowing of Sky Diffuse Solar Radiation”). Shading of ground diffuse solar radiation is not calculated by the program. It is up to the user to estimate the effect of this shading and modify the input value of Fsg accordingly.

SOLAR DISTRIBUTION

As discussed in the Solar Model options section, the Solar Distribution determines how EnergyPlus will treat beam solar radiation entering a zone through exterior windows. The three choices: 1-Minimal shadowing, 2-Full exterior and 3-Full Interior and exterior are discussed in the Solar options topic.

 

EnergyPlus calculates the distribution of short-wave radiation in the interior of each thermal zone. This radiation consists of beam solar radiation, diffuse solar radiation, and short-wave radiation from electric lights. The program determines the amount of this radiation that is (1) absorbed on the inside face of opaque surfaces, (2) absorbed in the glass and shading device layers of the zone’s exterior and interior windows, (3) transmitted through the zone’s interior windows to adjacent zones, and (4) transmitted back out of the exterior windows. The effects of movable shading devices on the exterior windows are taken into account.

Initial Distribution of Diffuse Solar Transmitted through Exterior and Interior Windows

The treatment of diffuse solar transmitted first through exterior windows and subsequently through interior windows has been improved. Diffuse solar (from sky and ground sources) transmitted through exterior windows is first distributed to the interior heat transfer surfaces in the zone containing the exterior windows. This initial distribution apportions the transmitted diffuse solar to interior surfaces using the approximate view factors described above in “LW Radiation Exchange Among Zone Surfaces.” The amount of this initially distributed diffuse solar absorbed by each interior surface, and each window material layer, is calculated and later added to the “short-wave radiation absorbed” values described below. The amount of this initially distributed diffuse solar that is reflected is accumulated for each zone and redistributed uniformly to the other surfaces. The amount of this initially distributed diffuse solar that is transmitted by interior windows to adjacent zones is initially distributed to the interior heat transfer surfaces in the adjacent zone in the same manner as just described.

 

This new treatment of diffuse solar is intended to more accurately account for the initial absorption, transmittance, and reflection of short-wave radiation prior to the uniform distribution as described in the Engineering reference.

Ground surface reflectance

Ground reflectance values are used to calculate the ground reflected solar amount. This fractional amount (entered monthly) is used in the following equation:

 

GroundReflectedSolar = (BeamSolar x COS(SunZenithAngle) + DiffuseSolar) x GroundReflectance

 

The Ground Reflected Solar is never allowed to be negative. The Snow Ground Reflectance Modifier can further modify the ground reflectance when snow is on the ground. If the user enters 0.0 for each month, no ground reflected solar is used.

Ground Reflectances (Snow)

When snow is on the ground, ground reflectances may change. The user can specify two values, Snow reflected solar modifier and Snow reflected daylight modifier.

Snow reflected solar modifier

A number between 0.0 and 10.0 which is used to modify the basic ground surface reflectance when snow is on the ground. Note that the value of GroundReflectanceUsed (below) must be <=1.

 

GroundReflectanceUsed = GroundReflectance x ModifierSnow

 

During simulations, the ground is considered to be snow-covered when the SnowDepth data in the hourly weather file is > 0.

Snow reflected daylight modifier

A number between 0.0 and 10.0 which is used to modify the basic ground surface reflectance when snow is on the ground. Note that the value of DaylightingGroundReflectanceUsed (below) must be <=1.

 

DaylightingGroundReflectanceUsed = GroundReflectance x ModifierSnow

 

During simulations, the ground is considered to be snow-covered when the SnowDepth data in the hourly weather file is > 0.

Beam distribution

If the Solar Distribution option is Minimal shadowing or Full exterior, it is assumed that all beam solar from exterior windows falls on the floor. If Solar Distribution is Full Interior and Exterior the program tracks where beam solar from exterior windows falls inside the zone, and wall as well as floor surfaces can receive beam radiation.

Diffuse distribution

Diffuse solar transmitted through exterior and interior windows is distributed according to the approximate view factors between the transmitting window and all other heat transfer surfaces in the zone. This variable is the amount of transmitted diffuse solar that is initially absorbed on the inside of each heat transfer surface. The portion of this diffuse solar that is reflected by all surfaces in the zone is subsequently redistributed uniformly to all heat transfer surfaces in the zone, along with interior reflected beam solar and shortwave radiation from lights. The total absorbed shortwave radiation is given by the next variable.

image198

Solar radiation reflected from exterior surfaces

EnergyPlus has an option to calculate beam and sky solar radiation that is reflected from exterior surfaces and then strikes the building. For zones with detailed daylighting, these reflections are also considered in the daylight illuminance calculations. The reflecting surfaces fall into three categories:

 

1.Shadowing surfaces. These are surfaces like overhangs, component blocks or surfaces of the building Examples are shown in Solar Options. These surfaces can have diffuse and/or specular (beam-to-beam) reflectance values that are specified with the based on the material surface properties.
2.Exterior building surfaces. In this case one section of the building reflects solar radiation onto another section (and vice-versa). See Figure 47. Opaque building surfaces (walls, for example) are assumed to be diffusely reflecting. Windows and glass doors are assumed to be specularly reflecting. The reflectance values for opaque surfaces are calculated by the program from the Absorptance:Solar and Absorptance:Visible values of the outer material layer of the surface’s construction. The reflectance values for windows and glass doors are calculated by the program from the reflectance properties of the individual glass layers that make up surface’s construction assuming no shading device is present and taking into account interreflections among the layers.
3.The ground surface. Beam solar and sky solar reflection from the ground is calculated even if the Reflections option is not used (the default). But in this case the ground plane is considered unobstructed, i.e., the shadowing of the ground by the building itself or by obstructions such as component blocks is ignored. This shadowing is taken into account only if the Reflections option is used. In this case the ground view factor calculated by DesignBuilder is not used.

 

See Solar Options,

Diffuse reflection of beam solar and sky solar radiation

A ray-tracing method is used to calculate beam solar and sky solar radiation that is diffusely reflected onto each of a building’s exterior surfaces (walls, roofs, windows and doors), called here "receiving surfaces". The calculation begins by generating a set of rays proceeding into the outward hemisphere at each receiving point on a receiving surface. Then it determines whether each ray hits the sky, ground or an obstruction. The radiance at the hit point from reflection of incident beam or sky solar is determined and the contribution of this radiance to the receiving surface is calculated, added to the contribution from other hit points, and averaged over the receiving points. Separate calculations are done for beam-to-diffuse and sky solar reflection from all obstructions and beam-to-diffuse and sky solar reflection from the ground. (For beam-to-beam reflection see Beam solar radiation specularly reflected from obstructions below.)

Rays

A total of 90 rays are sent out into the exterior hemisphere surrounding each receiving point. An upgoing ray may hit an obstruction or the sky. A downgoing ray may hit an obstruction or the ground. See diagram below.

 

image204

Two-dimensional schematic showing rays going outward from a point on a receiving surface. Rays 1-6 hit the ground, rays 7-11 hit an obstruction, and rays 12-15 hit the sky.

Sky Solar Radiation Diffusely Reflected from the Ground

If a downgoing ray from a receiving point hits the ground (for example, rays 1-6 in diagram below), the program calculates the radiance at the ground hit point due to sky diffuse solar reaching that point. To do this, rays are sent upward from the ground hit point and it is determined which of these rays are unobstructed and so go to the sky (for example, rays 6-10 below). For this calculation it is assumed that the radiance of the sky is uniform.

 

image205

Two-dimensional schematic showing rays going upward from a ground hit point.

Beam Solar Radiation Specularly Reflected from Obstructions

The diagram below shows schematically how specular (beam-to-beam) reflection from an obstruction is calculated.

image203

Two-dimensional schematic showing specular reflection from an obstruction such as the glazed façade of a neighboring building. The receiving point receives specularly reflected beam solar radiation if (1) DB passes through specularly reflecting surface EF, (2) CD does not hit any obstructions (such as RS), and (3) AC does not hit any obstructions (such as PQ).