Flux dair

Sommaire  Précédent  Suivant

Onglet Flux dair de la boîte de dialogue Aérations.

 

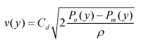
Indiquez le coefficient de décharge de cette aération.La vitesse de l'air à travers l'aération est donnée par l'équation suivante :

eqn_200x64

Where:

v: Vitesse

Cd: Coefficient de perte de charge

P: Pression de chaque côté de l'aération

? : Densité de l'air passant dans l'ouverture

Vous pouvez sélectionner cette aération dans les données de modèle du champ Ouvertures.

 

Remarque :
Dans les simulations thermiques, le coefficient de décharge nest utilisé que lorsque loption de modèle Ventilation naturelle est définie sur Calculée.